一、约瑟夫问题介绍

1、约瑟夫问题原题:

n个小孩子手拉手围成一个圈,编号为k(1 <= k <= n )的人从1开始报数,报到m的那个人出列,它的下一位又从1开始报数,报到m的又出列……依此类推,直到所有人都出列,由此产生一个出队编号的序列。

2、问题分析:

根据题目的描述,很容易可以想到用单向循环链表来模拟。先构成一个有n个节点的单向循环链表,然后节点K由1开始计数,计到m时,对应的节点从链表中删除,然后再从被删除的下一个节点由1开始计数,直到所有节点都被删除掉。

Java实现约瑟夫问题的方法
单向循环链表

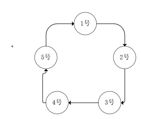
如上图,n等于5,假设从1号开始报数,报到2就出列,即k等于1,m等于2。那么最后出列的结果应该是:2,4,1,5,3。


 

二、单向环形链表的构建

1、构建思路:

Java实现约瑟夫问题的方法
第一个节点
Java实现约瑟夫问题的方法
第二个节点

依此类推,就可以构建出单向环形链表。遍历的时候,当节点的next等于first时,表示遍历完毕。

2、代码实现:

根据上面的分析,可以写出如下代码:

package com.zhu.study.linkedList;

/**
 * 约瑟夫问题,即单向循环链表问题
 * @author: zhu
 * @date: 2020/8/30 17:57
 */
public class Josepfu {
    public static void main(String[] args){
        CircleSingleLinkedlist linkedlist = new CircleSingleLinkedlist();
        linkedlist.add(5);
        linkedlist.showNodes();
    }
}

/**
 * 单向循环链表
 */
class CircleSingleLinkedlist{
    private Node first = null;
    /**
     * 添加节点
     * @param num 需要添加的节点个数
     */
    public void add(int num){
        if (num < 1){
            throw new RuntimeException("非法参数");
        }
        Node cur = null; // 当前node
        for (int i = 1; i <= num; i++) {
            Node node = new Node(i);
            if (i == 1) {
                first = node;
                first.setNext(first); // next指向自己,构成环
                cur = first;
            } else {
                cur.setNext(node);
                node.setNext(first);
                cur = node;
            }
        }
    }

    /**
     * 遍历
     */
    public void showNodes(){
        if (first == null){ // 链表为空
            return;
        }
        Node cur = first;
        while (true){
            System.out.printf("小孩编号%d \n", cur.getNo());
            if (cur.getNext() == first){ // 遍历完毕
                break;
            } else {
                cur = cur.getNext();
            }
        }
    }   
}

/**
 * 节点内部类
 */
class Node{
    private int no; // 编号
    private Node next; // 下一个节点

    public Node(int no){
        this.no = no;
    }

    public int getNo() {
        return no;
    }

    public void setNo(int no) {
        this.no = no;
    }

    public Node getNext() {
        return next;
    }

    public void setNext(Node next) {
        this.next = next;
    }
}
     

三、小孩出列的实现

1、思路:

先要找到开始报数的节点,用cur记录下来,比如从第k个开始数,那么cur应该指向k号节点;然后再找到cur的前一个节点,用pre记录下来;找到这两个节点后,由cur开始数(m-1)次,即cur和pre同时移动(m-1)次,此时cur就指向了要被删除的节点;打印要被删除的节点,然后将cur移动到被删除节点的下一个节点,即cur = cur.next,pre的next指向新的cur,即pre.next = cur

2、代码实现:

/**
     * 出圈,圈中共有n个人,从第k个开始,数m个开始出圈
     * @param k
     * @param m
     * @param n
     */
    public void get(int k, int m, int n){
        if (k > n || k < 1 || first == null || m > n){
            throw new IllegalArgumentException("非法参数");
        }
        // 先找到k节点,即开始报数的节点,用cur记录下来
        Node cur = first;
        for (int i = 1; i < k; i++) {
            cur = cur.getNext();
        }
        // 找到k的前一个节点,用pre记录下来
        Node pre = cur;
        while (true){
            if (pre.getNext() == cur){
                break;
            } else{
                pre = pre.getNext();
            }
        }
        // 出圈
        while (true) {
            if (pre == cur) { // 只有一个节点了
                System.out.printf("小孩编号%d\n", cur.getNo());
                break;
            }
            // cur和pre同时移动 m-1次
            for (int i = 1; i < m; i++) {
                cur = cur.getNext(); // 这个就是要出圈的节点
                pre = pre.getNext(); // 这个是要出圈节点的前一个节点
            }
            System.out.printf("小孩编号%d\n", cur.getNo());
            cur = cur.getNext();
            pre.setNext(cur);
        }
    }

调用该方法,k、m、n分别输入1、2、5,最后发现结果和上面分析的一样,打印的是2,4,1,5,3。

本文转载于:https://www.yisu.com/zixun/545617.html 如有侵犯,请联系zhengruancom@outlook.com删除。
免责声明:正软商城发布此文仅为传递信息,不代表正软商城认同其观点或证实其描述。